ViewTube

ViewTube
Sign inSign upSubscriptions
Filters

Upload date

Type

Duration

Sort by

Features

Reset

1,622 results

Steve Brunton
Random Variables and Probability Distributions

This video introduces the notion of a random variable "X". Random variables are similar to standard variables in calculus, except ...

21:56
Random Variables and Probability Distributions

87,615 views

11 months ago

pi learn
How to Solve a PDF and PMF Probability Question (Step-by-Step Explanation)

In this video, we break down a probability question involving a continuous random variable 𝑋 X with a piecewise-defined PDF.

6:48
How to Solve a PDF and PMF Probability Question (Step-by-Step Explanation)

187 views

6 months ago

Zachary Huang
Give Me 1 Hour, I'll Make Probability Click Forever

Ready to Practice Probability?:* https://youtu.be/7vb8a0kA-fw *Don't like the sound effects? Check out:* ...

1:01:45
Give Me 1 Hour, I'll Make Probability Click Forever

247,839 views

5 months ago

INORGANIC TUTOR’S INSTITUTE
Solving PMF Problems: ||Finding Constants & Probabilities Explained!||

probability In this video, we dive into the concept of probability mass functions (PMFs) and how to determine an unknown constant ...

20:11
Solving PMF Problems: ||Finding Constants & Probabilities Explained!||

263 views

10 months ago

The Friendly Statistician
How Does A Probability Mass Function (PMF) Work? - The Friendly Statistician

How Does A Probability Mass Function (PMF) Work? Have you ever wondered how statisticians and data analysts determine the ...

2:47
How Does A Probability Mass Function (PMF) Work? - The Friendly Statistician

22 views

3 months ago

Numerade Mathematics
1- Suppose that Xis a discrete random variable with the following probability mass function: where …

1- Suppose that Xis a discrete random variable with the following probability mass function: where 0 lt; 0 lt; 1is a parameter The ...

1:18
1- Suppose that Xis a discrete random variable with the following probability mass function: where …

21 views

10 months ago

Practice Test Geeks
PMF Practice Test 2026 Probability Mass Function Exam Questions & Answers Test Prep

Answers: https://practicetestgeeks.com/pmf-practice-test-questions-video-answers/ More Tests: ...

12:06
PMF Practice Test 2026 Probability Mass Function Exam Questions & Answers Test Prep

6 views

1 month ago

Numerade Mathematics
Write down explicitly the probability mass function and compute the expectation and variance of the…

Write down explicitly the probability mass function and compute the expectation and variance of the random variable with ...

1:23
Write down explicitly the probability mass function and compute the expectation and variance of the…

1 view

10 months ago

Learn With Dr. ABDAL
PMF | Probability Mass Function | Probability and Statistics | Solved Problems | By Dr. ABDAL

In this video, I will explain the concept of the Probability Mass Function (PMF) from the subject Probability and Statistics in a clear ...

36:08
PMF | Probability Mass Function | Probability and Statistics | Solved Problems | By Dr. ABDAL

412 views

2 months ago

Shauns Lab
Simple fun little probability question.

Expected Value of X | Discrete Probability Distribution** 📌 In this video, we analyze a discrete random variable \( X \) with a given ...

9:26
Simple fun little probability question.

13 views

9 months ago

Data Science with Keerthi (தமிழில்)
Probability Distribution Functions - PDF / PMF / CDF #statisticsfordatascience #datascienceinterview

Probability Distribution Functions — a must-know concept in statistics and data science! Connect 1:1 for data doubts & career ...

13:43
Probability Distribution Functions - PDF / PMF / CDF #statisticsfordatascience #datascienceinterview

7,979 views

8 months ago

Numerade Textbook Solutions
A random variable has the following probability mass function x 1 2 3 4 p(x) .2 .3 .3 .2 a) What is…

A random variable has the following probability mass function x 1 2 3 4 p(x) .2 .3 .3 .2 a) What is the expected value of X? b) What ...

0:33
A random variable has the following probability mass function x 1 2 3 4 p(x) .2 .3 .3 .2 a) What is…

3 views

11 months ago

Steve Brunton
Joint Probability Distributions

The joint probability distribution quantifies the joint dependence between two random variables, X and Y. If these random ...

14:34
Joint Probability Distributions

37,228 views

7 months ago

Mathematics Tutor
Joint probability distribution | covariance and correlation

BCS301 – Mathematics for Computer Science (Module 2) 🎯 Joint Probability Distribution Problem | CBCS Scheme 🧮 Question: ...

18:40
Joint probability distribution | covariance and correlation

1,011 views

2 months ago

Statistics by Punam
Joint Probability Mass Function | examples | ONE SHOT VIDEO | GATE STATISTICS | Statistics by Punam

Quantitative Aptitude – Ratios (100 Solved Questions) 👉 https://tinyurl.com/AptitudeRatios CareerByPunam Channel Link for ...

5:06
Joint Probability Mass Function | examples | ONE SHOT VIDEO | GATE STATISTICS | Statistics by Punam

454 views

9 months ago

Statistics by Punam
Probability Mass Function and their properties in 5 minutes | GATE STATISTICS | Statistics by Punam

Quantitative Aptitude – Ratios (100 Solved Questions) 👉 https://tinyurl.com/AptitudeRatios CareerByPunam Channel Link for Jobs ...

5:33
Probability Mass Function and their properties in 5 minutes | GATE STATISTICS | Statistics by Punam

74 views

11 months ago

Numerade Mathematics
In Problem 5, calculate the conditional probability mass function of Y_1 given that (a) Y_2=1 (…

In Problem 5, calculate the conditional probability mass function of Y_1 given that (a) Y_2=1 (b) Y_2=0 Watch the full video at: ...

1:23
In Problem 5, calculate the conditional probability mass function of Y_1 given that (a) Y_2=1 (…

0 views

7 months ago

Dr. Manpreet Kaur
Probability Mass function Solved Problems | Discrete Random Variable with Detailed Steps| Part 1

In this video, we solve two important examples on Discrete Random Variables step-by-step. You'll learn how to find the Probability ...

14:19
Probability Mass function Solved Problems | Discrete Random Variable with Detailed Steps| Part 1

168 views

2 months ago

Melissa Dela cruz
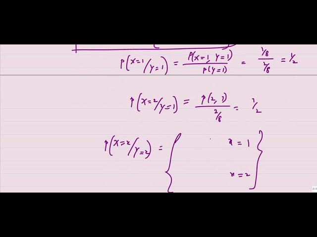
The joint probability mass function of X and Y is given by[ p(1,1)=1/8       p(1… ]

The joint probability mass function of X and Y is given by[ p(1,1)=1/8 amp; p(1,2)=1/4; p(2,1)=1/8 amp; p(2,2)=1/2 ] (a) Compute ...

1:23
The joint probability mass function of X and Y is given by[ p(1,1)=1/8 p(1… ]

3 views

8 months ago

Numerade Collegealgebra
1 [5 'pts] Let X be random variable with probability mass function P(1) = 4 P(2) = 1 P(3) = 8 P(4) …

1 [5 #x27;pts] Let X be random variable with probability mass function P(1) = 4 P(2) = 1 P(3) = 8 P(4) = 8 0 for a (1,2,3,41. Find the ...

1:23
1 [5 'pts] Let X be random variable with probability mass function P(1) = 4 P(2) = 1 P(3) = 8 P(4) …

2 views

9 months ago