ViewTube

ViewTube
Sign inSign upSubscriptions
Filters

Upload date

Type

Duration

Sort by

Features

Reset

477 results

Epiplexis
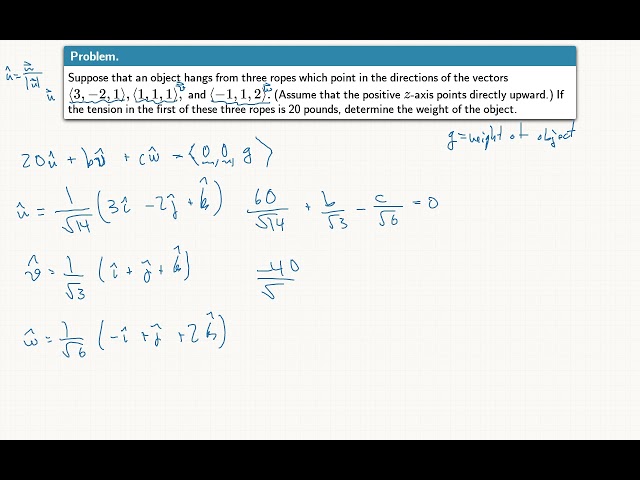
12.3-3 Examples

See the interactive version at https://www.math.brown.edu/ysulyma/f21-math180/12/3.html The sign on b is wrong in the second ...

7:44
12.3-3 Examples

17 views

4 years ago

FusChemistryVideos
12.3 Density Example Problem

The content of this video is designed to accompany the 12th edition of "Chemistry The Central Science" by Brown, Lemay, Bursten ...

6:58
12.3 Density Example Problem

5,303 views

13 years ago

Osceola Pencasts
Calc II 12.3 Example 3

Alright continuing section 12.3 we are talking about polar regions and in the book they derive the formula for you quite well, they ...

7:09
Calc II 12.3 Example 3

11 views

10 years ago

MAT137
12.3 Improper integrals: Example 3

This video in context: * Full playlist: https://www.youtube.com/playlist?list=PLlwePzQY_wW-OVbBuwbFDl8RB5kt2Tngo ...

3:21
12.3 Improper integrals: Example 3

18,055 views

7 years ago

Fonzie Nguyen
Video Math 120 Ch 12 12.3

The double check that we are supposed to do another one pretty sure we are week 12. We're supposed to go to 12.3 and this is ...

55:42
Video Math 120 Ch 12 12.3

14 views

3 years ago

Julia Ledet
Section 12.3 Video 1

Introduction to Section 12.3 Measures of Dispersion Range Standard Deviation.

3:29
Section 12.3 Video 1

304 views

6 years ago

Mary Cole
Ch 12.3 Theme

Table of Contents: 00:00 - Chapter 12: 12.3ENST-1300Technical Calculations 00:09 - Chapter 12: 12.3 Measures of Dispersion ...

10:14
Ch 12.3 Theme

315 views

5 years ago

Sebastian Raschka
12.3 Balanced Accuracy (L12 Model Eval 5: Performance Metrics)

Sebastian's books: https://sebastianraschka.com/books/ This video discusses the balanced accuracy (also known as the ...

9:39
12.3 Balanced Accuracy (L12 Model Eval 5: Performance Metrics)

2,560 views

5 years ago

Hundred Learning's NEET Tamil
12th Maths Chapter 12 Example 12.7 Simple Trick 1 Minute 2nd Mid Term Exam 2023 State Board Tamil

neettamil #centumhacks #thatromthookrom ☀️Rise Up Warriors ! ⭐Join ARISE Batch for Class 10/11/12 ⏰Daily Live Class on ...

0:57
12th Maths Chapter 12 Example 12.7 Simple Trick 1 Minute 2nd Mid Term Exam 2023 State Board Tamil

7,678 views

2 years ago

Pihoozz and Aayu and Pihu Show
MATHS PROBLEM | Try to solve #Shorts PIHOOZZ

Kya aapko answer pata tha Pihoozz This is a fun channel documenting my quirky ideas as sketches, shorts, vlogs, videos, and ...

0:31
MATHS PROBLEM | Try to solve #Shorts PIHOOZZ

12,316,899 views

3 years ago

Professor Dave Explains
The Vector Dot Product

We learned how to add and subtract vectors, and we learned how to multiply vectors by scalars, but how can we multiply two ...

6:59
The Vector Dot Product

1,126,991 views

7 years ago

Electromagnetism Griffiths
EM12.3ii 12.3.3 The Field Tensor

12.3 Relativistic Electrodynamics 12.3.3 The Field Tensor.

21:32
EM12.3ii 12.3.3 The Field Tensor

506 views

2 years ago

Joshua Emmanuel
Empirical Rule (68-95-99.7) for Normal Distributions

This video describes the empirical rule and shows its application given the mean and standard deviation of a bell-shaped ...

3:14
Empirical Rule (68-95-99.7) for Normal Distributions

262,917 views

9 years ago

Dr. Trefor Bazett
Intro to Conditional Probability

What is the probability of an event A given that event B has occurred? We call this conditional probability, and it is governed by the ...

6:14
Intro to Conditional Probability

1,604,521 views

8 years ago

Melissa Maribel
Reaction Order Tricks & How to Quickly Find the Rate Law

Reaction Orders are easy to find if you know the right tricks, plus you'll save time on your next Chemistry exam! Reaction Orders ...

1:58
Reaction Order Tricks & How to Quickly Find the Rate Law

534,037 views

7 years ago

LR Academy
Class 10 Maths chapter 12 Exercise 12.3 Example 4 |Ncert

Class 10 Exercise 12.3 Example 4 in hindi |Area Related to Circle| Ncert कक्षा 10 प्रश्नावली 12.3 उदाहरण ...

11:38
Class 10 Maths chapter 12 Exercise 12.3 Example 4 |Ncert

2,887 views

3 years ago

Professor Dave Explains
Gene Linkage and Genetic Maps

We just learned about X-linked genes, but what about gene linkage in general? If two genes are on the same chromosome, we ...

6:37
Gene Linkage and Genetic Maps

375,519 views

5 years ago

Jeff Moore
12.3 Two Way Anova Test

12.3 Two Way Anova Test.

3:38
12.3 Two Way Anova Test

506 views

7 years ago

UMassPHYS132
Charge Question Example

Charge question involving three charges in a circular ring.

10:34
Charge Question Example

93 views

8 years ago

Mathispower4u
Converting Scientific Notation to Decimal Notation

This video explains how to convert numbers in scientific notation to decimal notation. https://mathispower4u.com.

1:00
Converting Scientific Notation to Decimal Notation

33,499 views

2 years ago