ViewTube

ViewTube
Sign inSign upSubscriptions
Filters

Upload date

Type

Duration

Sort by

Features

Reset

338 results

Himanshu Kaushik | DigiiMento GATE, NET, CSE Prep
Linear Programming - 10 Steps to Solve linear programming problem using Graphical Method

These videos are helpful for the following Examinations - GATE Computer Science, GATE Electronics and Communication, NTA ...

5:00
Linear Programming - 10 Steps to Solve linear programming problem using Graphical Method

43,300 views

8 years ago

Doubtnut
Linear programming problems

Linear programming problems.

6:46
Linear programming problems

355 views

6 years ago

Mr ARUL SUJU D
Dynamic Programming : Solving Linear Programming Problem using Dynamic Programming Approach

Dynamic Programming : Solving Linear Programming Problem.

8:13
Dynamic Programming : Solving Linear Programming Problem using Dynamic Programming Approach

299,710 views

9 years ago

Mr ARUL SUJU D
Solving Linear Programming Problem : Graphical Method - Minimization Problem

Solving Linear Programming Problem : Graphical Method - Minimization Problem.

9:08
Solving Linear Programming Problem : Graphical Method - Minimization Problem

1,874 views

9 years ago

uma sakthi
Linear programming 1-optimal solution, corner points and feasible region.

Linear programming maximization problems. Introductions of objective function , constraints, non negative instructions and how to ...

10:18
Linear programming 1-optimal solution, corner points and feasible region.

701 views

5 years ago

NR CLASSES LLP
lpp graphical method Maximization | linear programming graphical method maximization example

NRClasses #ramdasbiradar #nehamam #bca #bcs #LPP #maximization For More Programs Visit http://www.bcsbca.com ...

12:25
lpp graphical method Maximization | linear programming graphical method maximization example

511 views

6 years ago

MA CLASSES
Solution of LPP by graphical method in Hindi # Lecture 01

Hello friends, In this video I have discussed formulation of linear programming problem, solution of LPP, feasible solution, optimal ...

19:09
Solution of LPP by graphical method in Hindi # Lecture 01

4,298 views

7 years ago

Doubtnut
Corner point method

Corner point method.

13:22
Corner point method

566 views

6 years ago

Sayak (IIT Kharagpur) - Smart Choices After 12th
How I Scored 97 in Class 12 Maths Without NCERT.

You don’t need to study the whole syllabus to score 95+ in Class 12 Maths — you just need to be smart. Here’s exactly how I’d ...

9:15
How I Scored 97 in Class 12 Maths Without NCERT.

789 views

2 months ago

Doubtnut
A linear programming problem is one that is conerned with finding the ….A…. Of a linear function

A linear programming problem is one that is conerned with finding the ….A…. Of a linear function called ….B… function of serval ...

4:39
A linear programming problem is one that is conerned with finding the ….A…. Of a linear function

23 views

5 years ago

Doubtnut
The minimum value of `z=20x+20y`  subject to `x+2yge8,3x+2yge15,5x+2yge20,xge0,yge0` is

The minimum value of `z=20x+20y` subject to `x+2yge8,3x+2yge15,5x+2yge20,xge0,yge0` is.

7:30
The minimum value of `z=20x+20y` subject to `x+2yge8,3x+2yge15,5x+2yge20,xge0,yge0` is

167 views

5 years ago

Doubtnut
Mathematical Formulation of Linear programing problem(Example)

Mathematical Formulation of Linear programing problem(Example)

5:45
Mathematical Formulation of Linear programing problem(Example)

303 views

6 years ago

Doubtnut
Find the minimum value of `Z=3x+5y,` subject to the constraints `-2x+y le4, x+y ge3, x-2yle2,

Find the minimum value of `Z=3x+5y,` subject to the constraints `-2x+y le4, x+y ge3, x-2yle2, x ge0 and y ge0.`

7:48
Find the minimum value of `Z=3x+5y,` subject to the constraints `-2x+y le4, x+y ge3, x-2yle2,

11,951 views

5 years ago

Doubtnut
Maximise `Z=5x+3y` Subject to `3x+5yle15, 5x+2yle10,xge0,yge0`.

Maximise `Z=5x+3y` Subject to `3x+5yle15, 5x+2yle10,xge0,yge0`. jee mains 2020, jee main january, class 12, jee main maths, ...

4:28
Maximise `Z=5x+3y` Subject to `3x+5yle15, 5x+2yle10,xge0,yge0`.

58,013 views

6 years ago

Doubtnut
Minimise and Maximise `Z=x+2y` Subject to `x+2yge100,2x-yle0,2x+yle200,x,yge0`.

Minimise and Maximise `Z=x+2y` Subject to `x+2yge100,2x-yle0,2x+yle200,x,yge0`. jee mains 2020, jee main january, class 12, ...

4:49
Minimise and Maximise `Z=x+2y` Subject to `x+2yge100,2x-yle0,2x+yle200,x,yge0`.

37,599 views

6 years ago

Doubtnut
Minimise `Z=-3x+4y` Subject to `x+2yle8, 3x+2yle12,xge0,yge0`.

Minimise `Z=-3x+4y` Subject to `x+2yle8, 3x+2yle12,xge0,yge0`. jee mains 2020, jee main january, class 12, jee main maths, jee ...

4:34
Minimise `Z=-3x+4y` Subject to `x+2yle8, 3x+2yle12,xge0,yge0`.

22,058 views

6 years ago

Doubtnut
Optimal Product line problem

Optimal Product line problem.

7:45
Optimal Product line problem

176 views

6 years ago

Doubtnut
Maximize `Z=3x+5y,` subject to the constraints `x+2yle2000, x+yle1500, y le600,  x ge0and yge0.`

Maximize `Z=3x+5y,` subject to the constraints `x+2yle2000, x+yle1500, y le600, x ge0and yge0.`

5:02
Maximize `Z=3x+5y,` subject to the constraints `x+2yle2000, x+yle1500, y le600, x ge0and yge0.`

1,099 views

5 years ago

NOW Edulabs
Class 12: Maths - Differential Equations Pt. 3 | Solving dy/dx Linear Type | CBSE

... chemical kinetics class 12 cbse, keeping quiet class 12 cbse, cbse class 12 letter, cbse class 12 linear programming, cbse class ...

13:14
Class 12: Maths - Differential Equations Pt. 3 | Solving dy/dx Linear Type | CBSE

36 views

7 years ago

Atma Academy
XII-Physics, NCERT Solutions, Chapter 6, Electromagnetic Induction , Question 6.7.BY- Atma Academy.

XII-Physics, NCERT Solutions, Chapter 6, Electromagnetic Induction , Question 6.7.@AtmaAcademy In this video I have explained ...

8:00
XII-Physics, NCERT Solutions, Chapter 6, Electromagnetic Induction , Question 6.7.BY- Atma Academy.

13 views

3 years ago

Doubtnut
Exhibit graphically the solution set of each of the following system of linear inequations:

Exhibit graphically the solution set of each of the following system of linear inequations: `6x+5y-30le0,xge1yle2`

4:44
Exhibit graphically the solution set of each of the following system of linear inequations:

68 views

5 years ago

NR CLASSES LLP
LPP Graphical Method Minimization | 12th Maths LPP

NRClasses #ramdasbiradar #nehamam #bca #bcs #LPP #minimization For More Programs Visit http://www.bcsbca.com ...

15:35
LPP Graphical Method Minimization | 12th Maths LPP

375 views

6 years ago

Doctrina
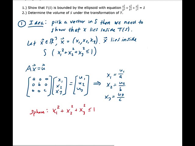
Using determinants to find the area volume of a given region under a transformation

... more General case um than the preceding theorem that we saw so this one it's the same idea if you have a linear transformation ...

14:13
Using determinants to find the area volume of a given region under a transformation

92 views

5 years ago

Doubtnut
Maximise Z=3x+4y, Subjected to the constraints `x+y le1, x ge 0, y ge 0`

Maximise Z=3x+4y, Subjected to the constraints `x+y le1, x ge 0, y ge 0`

5:17
Maximise Z=3x+4y, Subjected to the constraints `x+y le1, x ge 0, y ge 0`

265 views

6 years ago

Doubtnut
"Solve the following linear programming problem graphically: Maximize `Z=50 x+15 y`  Subject to

"Solve the following linear programming problem graphically: Maximize `Z=50 x+15 y` Subject to `5x+ylt=100` `x+ylt=60` `x ...

5:51
"Solve the following linear programming problem graphically: Maximize `Z=50 x+15 y` Subject to

2,462 views

5 years ago